设为首页
收藏本站
首页
党群部门
经济管理部门
社会事务部门
监督执法部门
苏木乡镇场
当前位置:
首页
社会事务部门
卫生健康委员会
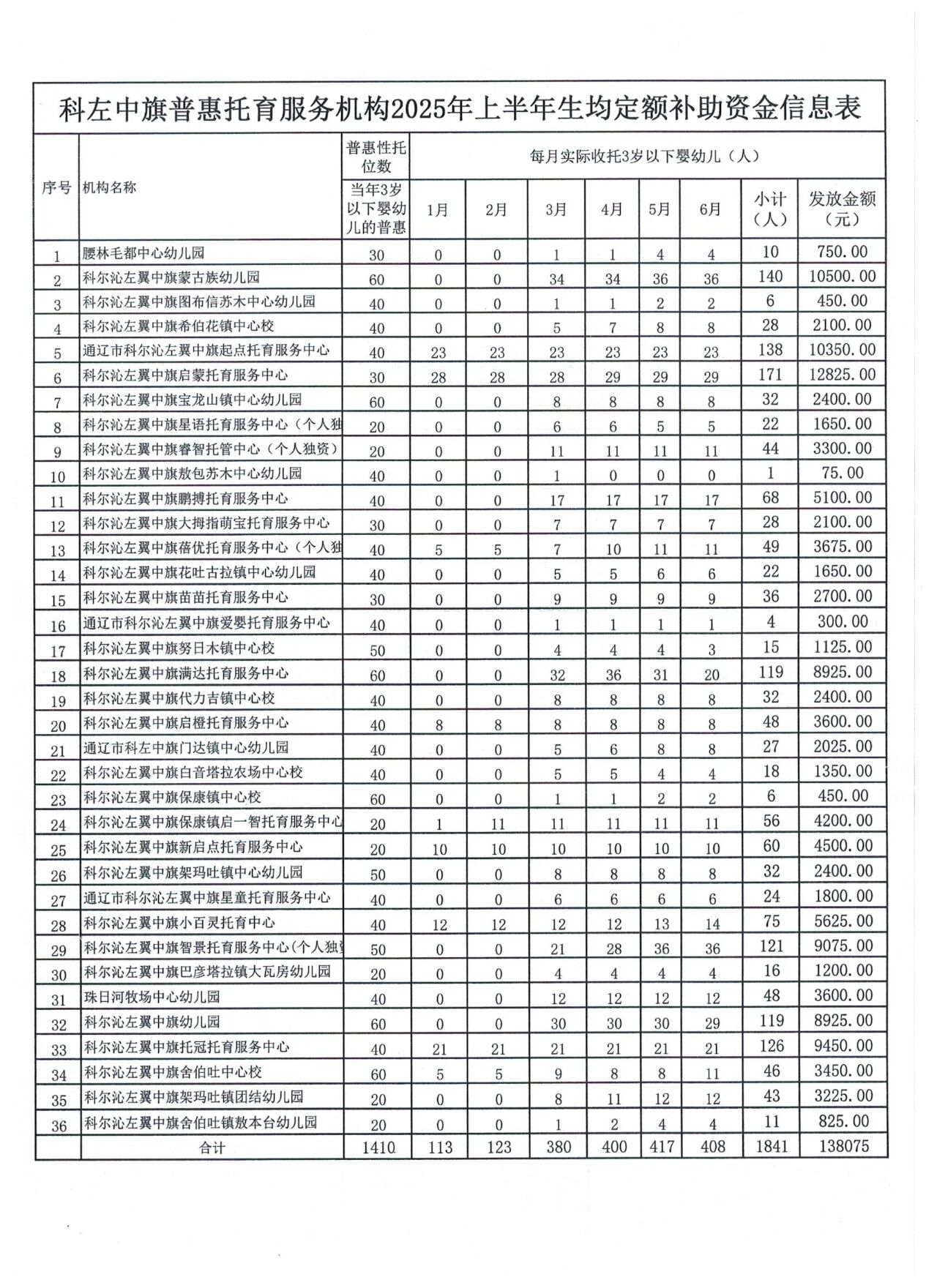
科左中旗卫生健康委员会关于科左中旗普惠托育服务机构2025年上半年生均定额补助资金信息公示
科左中旗卫生健康委员会关于科左中旗普惠托育服务机构2025年上半年生均定额补助资金信息公示
发布日期 2025-08-26 14:50:45