设为首页
收藏本站
首页
党群部门
经济管理部门
社会事务部门
监督执法部门
苏木乡镇场
当前位置:
首页
苏木乡镇场
宝龙山镇
扎布萨日嘎查
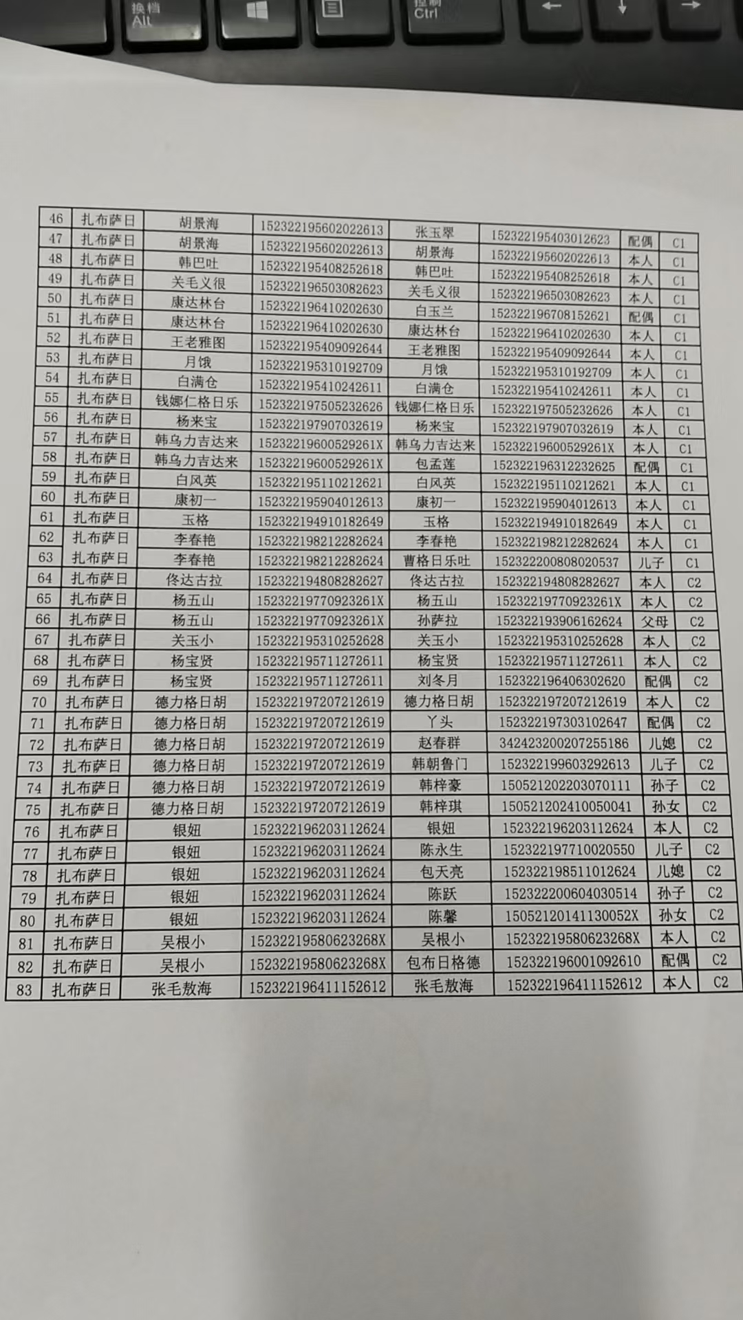
低保户
低保户
发布日期 2025-11-15 17:17:06